Introduction
Experiencing an injury during air travel can feel like a whirlwind of confusion and frustration, leaving passengers grappling with uncertainty about their rights and the steps they need to take for recovery. It’s a deeply unsettling experience, and understanding the intricacies of filing an airline injury claim is essential for those seeking justice and compensation for their pain.
But what if the process feels too daunting, or what if your claims are met with denial? This guide is here to illuminate a clear path through the complexities of airline injury claims, empowering you to navigate these challenges with confidence and secure the support you truly deserve.
Identify Types of Airline Injury Incidents
Experiencing harm during air travel can be a deeply unsettling ordeal. It’s vital to understand the specific type of incident that led to your injury, as this knowledge can shape your path to recovery. Here are some common categories of airline injury incidents that many passengers face:
- In-flight injuries: These can occur due to turbulence, sudden stops, or accidents involving service carts. It’s alarming to note that nearly one-third of flight attendant accidents are linked to beverage cart incidents, underscoring the potential dangers that can arise during flight operations.
- Boarding and deplaning incidents: Many passengers find themselves injured while boarding or exiting the aircraft, often due to slips, trips, or falls. The statistics reveal that these moments can lead to serious injuries, reminding us all to stay vigilant during these critical times.
- Baggage-related incidents: Injuries can also stem from falling luggage or improper handling of bags. The physical strain of lifting heavy baggage can lead to harm for both travelers and airline staff, highlighting the need for care and attention.
- Negligence-related harm: This includes injuries that result from a carrier’s failure to uphold safety standards or provide adequate support. For instance, if an airline neglects to maintain its equipment or fails to properly train its personnel, it may bear responsibility for any resulting injuries.
Understanding the nature of your incident is crucial for determining how to file an airline injury claim, as it directly influences the legal steps you can take and the evidence you’ll need for your case. Consulting with a compassionate lawyer can provide you with valuable insights into how to file an airline injury claim and help you navigate the complexities of aviation-related personal injury claims. Remember, you’re not alone in this journey, and there are people ready to support you every step of the way.

Gather Essential Documentation for Your Claim
When facing the aftermath of an airline accident, gathering comprehensive documentation is not just a task – it’s a crucial step in your healing journey. Here’s what you need to focus on:
- Medical Records: Start by securing all medical reports related to your injury. This includes diagnoses, treatment plans, and any follow-up care. These records are vital for validating your claims and illustrating the extent of your damages, helping you convey your experience more effectively.
- Occurrence Reports: Don’t forget to request a copy of the airline’s occurrence report. This document details the circumstances of your injury and is essential for establishing the context and specifics surrounding the event.
- Witness Statements: Reach out to fellow passengers or crew members who witnessed the incident. Their accounts can provide valuable support for your experience, reinforcing your narrative.
- Photographic Evidence: If possible, take photos of your injuries and the location where the event occurred. Visual evidence can significantly bolster your case, vividly illustrating the impact of what you’ve endured.
- Flight Details: Keep a record of your flight information, including the flight number, date, and time. This information is crucial for linking your request to the specific event.
It’s also important to inform your flight attendant about your injury as soon as possible. Timely care can help prevent further harm and ensure that there’s documentation of the incident, which is essential for your request. It is highly advisable to consult with an aviation accident attorney to understand how to file an airline injury claim. They can guide you through the legal complexities of how to file an airline injury claim and ensure you meet the statute of limitations, typically two years from the incident. Understanding the legal frameworks governing personal injury claims on domestic and international flights is also key, as domestic cases are usually governed by state law, while international flights fall under the Montreal Convention. Depending on your situation, potential legal claims may include breach of contract, negligence, or civil rights violations.
By organizing this documentation, you’re not just simplifying the process; you’re also strengthening your case, which enhances your chances of a favorable outcome. Remember, injuries from turbulence can lead to emotional distress, complicating your recovery. Therefore, having thorough documentation and expert legal advice is crucial for achieving the best possible result in your case.

Submit Your Claim to the Airline
Navigating the claims process can feel overwhelming, especially when learning how to file an airline injury claim after experiencing aviation misconduct or injury. But you’re not alone in this journey. Here’s a compassionate guide to help you through the steps of presenting your request to the carrier:
-
Fill out the request form: Most carriers provide a specific request form on their website. Take your time to fill it out completely and accurately; this is your chance to express your needs clearly.
-
Attach supporting documents: It’s essential to include all relevant documentation, like medical records, incident reports, and witness statements. Having comprehensive evidence is crucial. It not only supports your case but also helps your attorney assess potential liability and damages, giving you a clearer picture of your situation.
-
Submit your request: Once everything is in order, send your request using the carrier’s preferred method-whether that’s online, via email, or through postal mail. Remember to keep copies of everything you send; it’s important to have a record of your efforts.
-
Follow up: After you’ve submitted your request, don’t hesitate to check in with the carrier. Confirm they received your request and inquire about the timeline for processing. Prompt submission is vital, as carriers often set specific deadlines for requests. Missing these deadlines can jeopardize your chance to recover damages, and we want to ensure you’re on the right path.
If you’ve faced aviation misconduct or injury, understanding how to file an airline injury claim with the assistance of an experienced aircraft accident attorney can provide you with the support you need to navigate this process effectively. You deserve to have someone in your corner, helping you every step of the way.

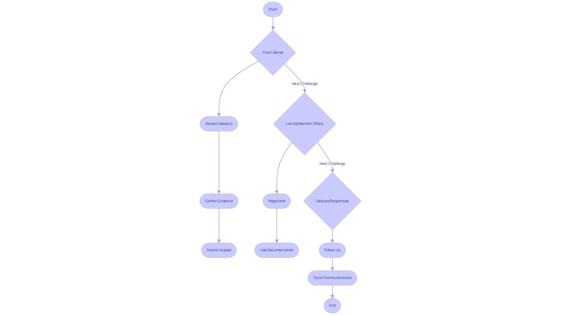
Navigate Challenges and Responses from the Airline
Once you submit your request, it’s important to brace yourself for the challenges that might arise from the airline. Here are some common hurdles you may face and how to navigate them with resilience:
-
Claim Denial: If your claim gets denied, take a moment to review the reasons given. Gather any additional evidence that could strengthen your case. For instance, British Airways once compensated £6.9 million to passengers whose requests were initially turned down, highlighting the power of persistence. You have the right to appeal the decision-just submit a written appeal along with any new documentation you’ve collected.
-
Low Settlement Offers: It’s not uncommon for airlines to start with a settlement offer that falls short of what you truly deserve. Consider the story of a passenger on Delta Air Lines who secured $700 in compensation after a weather delay. This shows that negotiation can lead to better outcomes. Don’t feel pressured to accept the first offer; instead, use your documentation to advocate for a higher amount.
-
Delayed Responses: If the airline takes longer than expected to respond, don’t hesitate to follow up regularly. Keep a record of all communications to track your interactions. As Laurie Watson pointed out, airlines often use misleading tactics to encourage individuals to give up on their requests. Your persistence can not only prompt quicker responses but also demonstrate your commitment to resolving the issue.
Understanding these challenges and having a thoughtful strategy to address them can help you stay focused and persistent throughout your journey.

Consider Legal Representation for Your Claim
Facing the aftermath of an aviation accident can feel overwhelming, especially when injuries are severe. It’s a challenging time, and seeking legal representation can make a significant difference. Here are some heartfelt reasons to consider this path:
- Expertise in Aviation Law: Attorneys who specialize in aviation accidents bring a wealth of knowledge about the complex legal landscape. They’re equipped to navigate the intricacies of your case, ensuring that every legal detail is handled with care.
- Negotiation Skills: Experienced lawyers are not just advocates; they’re skilled negotiators who fight for your rights. Their expertise can greatly improve your chances of receiving fair compensation, as they know the strategies employed by insurance companies and airlines all too well.
- Managing Documentation: The process involves a mountain of paperwork and strict deadlines that can be daunting. Having legal representation means you won’t have to shoulder this burden alone. They’ll handle the details, allowing you to focus on healing while ensuring that all necessary documents are submitted accurately and on time.
- Contingency Fees: Many personal injury attorneys work on a contingency fee basis, which means you only pay if you win your case. This arrangement removes the financial stress, enabling you to pursue justice without worrying about upfront costs.
Consulting with an aviation attorney not only brings peace of mind but also increases your chances of understanding how to file an airline injury claim successfully. They can guide you through the complexities of aviation law, helping you avoid common pitfalls that could jeopardize your case. Remember, you don’t have to navigate this journey alone; support is available.

Conclusion
Navigating the process of filing an airline injury claim can feel overwhelming, especially after the distressing experience of being injured during air travel. This guide has illuminated the necessary steps, from identifying the type of incident to gathering the right documentation, submitting your claim, and facing potential challenges. Each phase of this journey is vital in protecting your rights and ensuring you receive the compensation you deserve.
Key insights covered include:
- Recognizing the specific type of injury incident, whether it’s in-flight, during boarding, or due to negligence.
- Gathering comprehensive documentation, like medical records and witness statements, which is crucial for substantiating your claim.
- Understanding how to effectively submit your claim and respond to challenges from the airline, which can significantly influence the outcome of your case.
- Legal representation can be a crucial ally in this process, offering expertise and support as you navigate the complexities of aviation law.
The road to recovery from an airline injury may be filled with obstacles, but it’s essential to stay persistent and informed. Empowerment comes from understanding your rights and the legal avenues available to you. As you embark on this journey, consider seeking professional guidance to enhance your chances of success. Remember, you are not alone; there are resources and support systems in place to help you navigate the intricacies of filing an airline injury claim effectively. Take action today to ensure your voice is heard and your rights are upheld.
Frequently Asked Questions
What are the common types of airline injury incidents?
Common types of airline injury incidents include in-flight injuries (due to turbulence or service carts), boarding and deplaning incidents (often from slips or falls), baggage-related incidents (from falling luggage or improper handling), and negligence-related harm (resulting from the airline’s failure to uphold safety standards).
Why is it important to identify the type of incident that led to my injury?
Identifying the type of incident is crucial as it shapes your path to recovery and influences how you will file an airline injury claim, including the legal steps you can take and the evidence you’ll need for your case.
What essential documentation should I gather for my airline injury claim?
You should gather medical records, occurrence reports from the airline, witness statements, photographic evidence of your injuries and the incident location, and flight details such as flight number, date, and time.
How can I strengthen my airline injury claim?
Strengthening your claim involves organizing comprehensive documentation, including medical records and evidence of the incident, which can help validate your claims and illustrate the extent of your damages.
What should I do immediately after experiencing an airline injury?
Inform your flight attendant about your injury as soon as possible to ensure timely care and proper documentation of the incident.
How long do I have to file an airline injury claim?
You typically have two years from the incident to file an airline injury claim, but it is advisable to consult with an aviation accident attorney to understand the specific time limits and legal frameworks that apply to your case.
What legal frameworks govern airline injury claims?
Domestic airline injury claims are usually governed by state law, while international flights fall under the Montreal Convention. Potential legal claims may include breach of contract, negligence, or civil rights violations.
Why is consulting with a lawyer important after an airline injury?
Consulting with a compassionate lawyer can provide valuable insights into how to file an airline injury claim, help you navigate the complexities of aviation-related personal injury claims, and ensure you meet all legal requirements.

Emery Brett Ledger brings more than 27 years of experience to personal injury law. He founded & led The Ledger Law Firm in securing over $100 million in compensation for clients with life-altering injuries & complex claims. Licensed in California, Texas, & Washington, Emery earned his law degree from Pepperdine University School of Law. His practice areas include car & truck accidents, wrongful death, catastrophic injuries, maritime claims, & mass tort litigation. He has been recognized by The National Trial Lawyers’ Top 100, Mass Tort Trial Lawyers Top 25, and America’s Top 100 Personal Injury Attorneys. Emery also received the 2025 Elite Lawyer Award & holds a perfect 10.0 Avvo rating with Platinum Client Champion status.